| Paradokser i fysik
Partikler eller bølger?
Mere om kvanterfysik |

|

Illustration fra:
"Mr. Tompkins i drømmeland eller historien
om lille c, store G og lille h", George Gamow,
Gyldendals Uglebøger, 1965 ("Mr. Tompkins
in Wonderland or Stories of c, G and h")
|
 |
 |
 |
Planck, Einstein, Bohr foreslog i starten
af 1900-tallet at lys - og elektromagnetisk stråling
i almindelighed - både kunne opfattes som en bølgeudbredelse
og som partikler, "fotoner".
Hver foton har en energi på:
hvor f er lysets frekvens målt i Herz (= antal
svinginger pr. sekund) og h kaldes "Plancks konstant"
(værdi 6,6 10-34 Joule sekund).
En foton har også en "impuls" p = m v (masse
gange hastighed) givet ved: 
hvor
er lysets bølgelængde.
Bølgelængde og frekvens for
lys hænger sammen: 
hvor c er lysets hastighed (300 108 meter pr.
sekund).
I 1923 foreslog den franske fysiker Louis
de Broglie (1892-1987) at ligesom bølgefænomenet
lys undertiden kan opfattes som partikler, ville også
partikler undertiden se ud til at have bølge-egenskaber.
Disse bølger er dog af en anden natur end de elektromagnetiske
bølger.
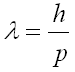
Til partiklen knyttes så en bølgelængde
("de Broglie-bølgelængden"): 
hvor p som før er partiklens impuls p = m v.
Davison og Germer viste i 1927 eksperimentelt
at elektroner som bliver spredt på overfladen af et
stykke aluminiums-folie viser bølgeegenskaber som
minder om tilsvarende spredning af lys. Det er dette ovenstående
"eksperiment" illustrerer.

X-ray-
(røngten-) diffraktion t.v., elektron-diffraktion
t.h.
Heisenberg's usikkerheds-princip (usikkerheds-relation)
på formler i elektron-eksperimentet


.
Tilbage til: Partikler
eller bølger?
|